超级打新日来袭!7月10日科创板9只新股申购,你准备好了吗?
<股票配资网>超级打新日来袭!7月10日科创板9只新股申购,你准备好了吗?股票配资网>
(本文由公众号越声投顾()整理,仅供参考,不构成操作建议。如自行操作,注意仓位控制和风险自负。)
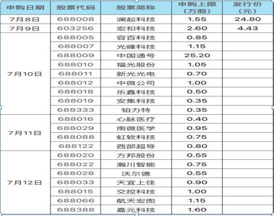
超级打新日来了!7月10日,科创板迎来9只新股,更有顶格申购100%中签新股超级打新日来袭!7月10日科创板9只新股申购,你准备好了吗?,总共募集资金188.32亿元。
7月10日周三,9只科创板新股集体打新,沪市一天9只新股申购的情况,还是有史以来的头一回。
在这9只新股中,拟募资规模高达105亿元的中国通号()在列,按照同等募资额的新股历史中签率计算,顶格申购几乎肯定可以中签,但顶格申购的门槛相当高,需配市值252万元。
以下是本周22只新股申购的具体信息:

中一签赚多少?
乐鑫科技发行价62.6元/股,中一签(500股)需准备31300元。如果乐鑫科技上市首日的涨幅达30%、50%、100%,则分别对应收益9390元、15650元、31300元。
光峰科技发行价17.5元/股,中一签(500股)需准备8750元。如果光峰科技上市首日的涨幅达30%、50%、100%,则分别对应收益2625元、4375元、8750元。
安集科技发行价39.19元/股,中一签(500股)需准备19595元,如果安集科技上市首日的涨幅达30%、50%、100%,则分别对应收益5878.5元、9797.5元、19595元。
中国通号的发行价为5.85元/股,中一签(500股)需准备2925元。如果中国通号上市首日的涨幅达30%、50%、100%,则分别对应收益877.5元、1462.5元、2925元。
铂力特发行价33元/股,中一签(500股)需准备16500元。如果铂力特上市首日的涨幅达30%、50%、100%,则分别对应收益4950元、8250元、16500元。
中微公司发行价29.01元/股,中一签(500股)需准备14505元。如果中微公司上市首日的涨幅达30%、50%、100%,则分别对应收益4351.5元、7252.5元、14505元。
福光股份发行价25.22元/股,中一签(500股)需准备12610元。如果福光股份上市首日的涨幅达30%、50%、100%,则分别对应收益3783元、6305元、12610元。
容百科技发行价为26.62元/股,中一签(500股)需准备13310元。如果上市后涨幅分别达30%、50%、100%,则对应的收益分别为3993元、6655元、13310元。
新光光电发行价为38.09元/股,中一签(500股)需准备19045元。如果上市后涨幅分别达30%、50%、100%,则对应的收益分别为5713.5元、9522.5元、19045元。
【新股申购中签时段概率表,仅供参考】

虽然新股申购想要中签还是挺难的,但是任何事儿都是需要方法吧,当然凡是也没有绝对的,有了方法也不一定都能打中,但是几率大大增加!

所以,今天,越声投顾()给大家简单的支支招。
(1)新股申购主要靠运气,但市值绝对重要;
打新有运气好的,但绝大多数中的多的主要是因为市值大,能够顶格申购。所以账户买入股票多,市值高的打新中签率肯定会高!
(2)分账户申购;

如果有100万元资金我会分为2到3个账户,每个账户的股票沪深各半,选出几只长线的优质个股买入并持有。这样就有4到6个申购机会,沪深每只股票会同时有多个账户申购。
PS:但总体还是要炒股票二级市场盈利为主,没必要太为了新股申购刻意调配账户。
(3)时间段。
全国股民太多了。时间太早和太晚,由于分配的号码位数比较少,所以中签概率相对低。
中签的三个时段分别是:13点刚过时段、10点刚过时段、临近10点时段。
申购时间太早太晚不好,网络上传说的10点半-下午2点半的高峰也要避开,那么闹中取静,我选的13点刚过时段新股中签率与收益预测,以及过了最早时段开始预热的10点左右时段。
查询了接近中签的七个新股申购时间段,基本都在10点左右。
(4)怎样看配号。
从以前中签的三个新股来看,都是四位数。位数越少后面五位、六位、七位、八位重复的机会越高。所以这也是我不主张太晚申购的原因。
如果你的配号里,最后四位有“0”,或者倒数第三位百位数是“8”或者“9”,那么基本可以确定是不中了。从我观察的中签号开看,前四位中带“0”的很少,第三位是“9”要是顶格申购,再进位也就是千位是“零”。千位是“0”基本就是等于你只有三个数字,概率又小了一些。
打新必备攻略:虽然新股申购中签率越来越低,运气成分稍多,不过掌握一些新股申购的小技巧,还是有助于提高中签率的。
实战技巧:
实战1:选择新股申购黄金时间,参照历史数据表明新股摇号过程中处于中间的号摇出的概率更大,因此一般认为上午的10:15-10:45和下午的13:45-14:15是新股申购的最佳时间。
实战2:购买发行价高的股票,从打新中签后的收益出发,一般新股申购成功后收益都十分惊人,所以如果同样是中签,购买发行价高的股票的性价比将更高。
实战3:市值可重复使用,新规下的新股申购对市值有严格的要求,不过打新股的市值也是可以重复使用的。即投资者可以根据手中的实际市值和新股配套的市值同时申购多只新股。另外,选择集中力量在新股发行量最多的那天进行申购,对提高中签率十分有帮助。
实战4:集中资金申购大盘股,一般大盘股的中签率要高于小盘股,所以对于资金较少的散户而言,应该积极参与大盘股的新股申购,即集中资金力量申购某一只大盘股,有助于提升中签率。
实战5:打新只能申报一次,即投资者需要明确新股申购只算第一次申购的股数,即一旦第一次申购结束后超级打新日来袭!7月10日科创板9只新股申购,你准备好了吗?,再进行第二次新股申购,系统是不会同意的,并且只算投资者第一次申购的股数。所以投资者一定要把握自己的申购机会,不要白白浪费掉。
打新需要特别注意的四大事项。
第一,打新是根据投资者持有的市值确定其网上可申购额度的。持有市值1万元及以上的投资者才能参与新股申购,每5000元市值可申购一个申购单位,不足5000元的部分不计入申购额度。每一个申购单位为500股,申购数量应当为500股或其整数倍,但最高不得超过网上初始发行股数的千分之一。
第二,本周三、四、五都将出现同一天多只科创板新股申购,在这种情形下,在进行市值计算时,不需要重复计算新股中签率与收益预测,持有市值可同时用于申购多只新股。
第三,根据要求,投资者参与网上公开发行股票的申购,只能使用一个证券账户。同一投资者使用多个证券账户参与同一只新股申购的,以及投资者使用同一证券账户多次参与同一只新股申购的,以该投资者的第一笔申购为有效申购,其余申购均为无效申购。
第四,投资者应谨防“弃坑”情况出现。根据规则,网上投资者连续12个月内累计出现3次中签后未足额缴款的情形时,自结算参与人最近一次申报其放弃认购的次日起6个月(按180个自然日计算,含次日)内不得参与新股、存托凭证、可转换公司债券、可交换公司债券网上申购。
PS:文中图片若有不清晰的,可关注公众号越声投顾()查看清晰大图








